CNDD-0086 2010年全国第六次人口普查数据(区县级、百万级观测值)

01 数据介绍
▪ 关键词:第六次人口普查数据子样本
▪ 数据编号0086
▪ 数据名称:2010年全国第六次人口普查数据
▪ 数据区间:2010年
▪ 样本数量:1,267,381条;2,105,360条;4,400,367条
▪ 数据来源:国家统计局
▪ 数据说明:2010年第六次人口普查微观数据库为中国2010年人口普查个体样本数据。数据库包括常住人口口径,数据涵盖性别、年龄、民族、户籍情况、受教育程度、行业、职业、迁移流动、社会保障、婚姻、生育、死亡、住房情况等五十余个相关指标。
▪ 数据维度区县级、时点数据
▪ 综合评价2010年人口普查采用了长、短两种普查表,短表包括反映人口基本状况的项目,长表包括所有短表项目和人口的经济活动、婚姻家庭、生育和住房等情况的项目。长表抽取了10%的户填报,短表由其余的户填报。本数据包括对普查表长表数据分别进行了进行0.95%、1.58%和3.30%比例的系统抽样结果。
CNDeepData 数据应用质量评级

▪ 常用度:★★★

▪ 稀缺度:★★★

▪ 新颖度:★★★

▪ 总体级别:12颗星

  常用度:是数据市场中需求指标,是指该数据在经济管理类学术论文中使用频率。

✔  稀缺度:是数据市场中供给指标,是指该数据在其他数据库的出现频率。

  新颖度:是数据市场中生成指标,是指该数据在生成时方法新颖程度和工作量。

02 主要指标

图片

03 数据特征概览
▪ 数据概览  

图片

▪ 数据获取内容

图片

04 前沿文献速递

▪ 文献来源

张川川,马光荣.宗族文化、男孩偏好与女性发展[J].世界经济,2017,40(03):122-143.

▪ 文献内容:
文章基于CFPS数据和中国第六次人口普查数据,考察了宗族文化对男孩偏好和女性发展的影响。结果显示,宗族文化强度同地区男孩偏好和女性发展显著相关,表现为宗族文化势力越强,性别比失衡越严重,女性与男性教育差距越大。以宋代民族战争作为工具变量,文章进一步估计了宗族文化对人口性别比和两性教育差距的因果影响,得到同OLS估计一致的结论。在此基础上,文章讨论了城市化和教育进步在影响和改变传统宗族文化中可能发生的作用。
▪ 相关数据应用:
1. 2010 年中国第六次人口普查数据 

使用 2010 年中国第六次人口普查的县级数据计算县级层面的出生人口性别 比和 14 岁以下其他年龄段儿童的性别比。由于文献讨论过的有意识漏报或错报女婴的行为(Johansson 和 Arvidsson,1991; Zeng 等,1993) ,出生人口性别比指标可能存在一定程度的测量误差。年龄越大,“隐藏”女孩的可能性越小,因此较高年龄段儿童的性别比较少存在高估的可能。实际上,儿童性别比除了主要决定于出生人口性别比外,还受到不同性别儿童人口死亡率的影响,例如,男孩偏好可能导致女童的死亡率更高( Arnold 等,1998) 。因此,出生后各年龄段的儿童性别比失衡综合反映了生育行为上的男孩偏好和生育后的男孩偏好。除了性别选择以外,男孩偏好还导致了其他一些社会经济后果,特别是男孩偏好不利于女性的发展,其中一个值得关注的现象是家庭教育投资上表现出来的性别差异。性别失衡是通过 B 超或溺婴等方式进行出生前或出生后性别选择所致,教育的性别差距则更多反映了性别确定后,家长在子女成长投资上存在的男孩偏好。教育投资是实现个体发展的重要途径,因此,男孩偏好对女性教育投资的不利影响是性别偏好阻碍女性发展的重要途径。文章使用 2010 年人口普查数据计算县级层面女性和男性受教育年限的差距,估计宗族文化对两性教育差距的影响。

2. 中国家庭动态调查数据 

宗族祠堂、族谱等信息来自中国家庭动态调查(CFPS) 于2010 年收集的全国基线调查数据。CFPS 是由北京大学中国社会科学调查中心负责开展的具有全国代表性的大型微观入户调查。该调查旨在通过跟踪收集个体、家庭、社区三个层次的数据,反映中国社会、经济、人口、 教育和健康的变迁,为学术研究和公共政策分析提供数据基础。CFPS 全国基线调查于 2010 年开展,样本覆盖了来自全国25 个省162 个县635 个村庄( 社区) 的 14 798 个家户。CFPS 的分层多阶段抽样设计使得 CFPS 样本能够代表大约95%的中国人口( Xie,2012) 。

根据 CFPS 社区调查数据来定义社区是否有宗族祠堂, 并在县级行政区层面计算有宗族 祠堂社区所占的比重,作为该县宗族祠堂盛行程度的度量。根据家户调查数据计算 CFPS 样 本县家户中持有家族族谱的比例,作为度量宗族文化强弱的另一项重要指标。相比宗族祠堂, 家族族谱在某些方面更适合用于度量宗族文化的强弱。首先,相比个人,地方政府更容易对社区层面的文化表征施加影响。例 如,地方政府在政治或文化运动中拆除祠堂可能较为容易,但是要控制家户是否持有家族族谱则 更为困难。其次,生育行为归根结底发生在家户层面而非社区层 面,生育决策主要是家户决策行为。根据县级行政区的行政区划代码将 CFPS 数据和人口普 查数据进行匹配,共匹配了 159 个县级行政区。

图片

表 1 对主要变量进行了统计描述,A 部分报告了将 2010 年人口普查数据和 CFPS 数据在县级层面匹配后的样本均值,B 部分报告了 CFPS 家户层面的样本均值。样本数据显示, 159 个样本县平均出生人口性别比为 114. 52,表现出明显的性别比失衡。在性别比失衡最严重的一个县,出生人口性别比高达 161. 62。0-14 岁间各年龄段儿童的性别比同样表现出明显的失衡。样本人口平均受教育年限为 9. 10 年,男性比女性平均高出近 0. 85 年。159 个县的平均宗族祠堂密度为 10%,拥有族谱的家庭比例平均为 23%,显示传统的宗族文化表征分布仍然较为广泛。少数民族比例平均为 8. 06%,非农业户籍人口比例平均为 33. 86%。样本受访者平均年龄在 45. 25 岁,家户年收入平均为 2. 73 万元。个 人和家户层面的变量描述显示人们十分看重传宗接代,传宗接代变量取值在 1-5 之间, 依次表示不重要到非常重要,样本平均值接近 4。 

为了更为直观地显示性别失衡严重程度和宗族文化强度的地域差异,在图 3 和4 中分别描述了 CFPS 样本县的出生人口性别比和宗族文化分布情况。从图3 的情况来看,性别比失衡状况比较严重的地区集中在华北、华南地区和甘肃省南部地区。图 4 显示了 CFPS 样本县所调查家户中持有家族族谱的家庭比例,由图可见在中国华北、华南地区和江西、湖南等地宗族文化更为流行。大体上看,性别比失衡严重程度的空间分布和宗族文化强弱的空间分布具有很高的重合度。

图片

图片

▪ 实证模型与结果:
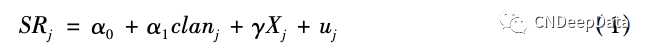
在回归框架下估计宗族文化强度对人口性别比的影响。具体的,估计如下方程:

图片

其中,SRj 为样本县 j 的人口性别比,clanj 为该县宗族祠堂的密度或持有族谱的家户 比例,Xj 为一组控制变量,uj 为随机干扰项。 首先以宗族祠堂的密度衡量一个地区宗族文化的强度,对方程(1) 进行估计,结果见表2。

图片

表2A 在县级层面估计了宗族祠堂与出生人口性别比以及其他年龄段人口性别比的关系。除了以出生人口性别比作为被解释变量外,还采用 15 岁以下各年龄段人口的性别比检验结果的稳健性。从回归结果看,地区出生人口性别比同当地宗族祠堂密度显著正相关,相比没有宗族祠堂的地区,有宗族祠堂地区每生育 100 个女孩,平均多生育大约 18 个男孩。
表 2B 部分进一步控制各地区的计划生育政策强度,考察在给定计划生育政策的情况下,宗族文化强度同性别比之间的关系。结果显示,以宗族祠堂度量的宗族文化强度仍然同各年龄段人口的性别比显著相关,且系数大小同表2A 部分的估计非常接近,间接表明宗族文化变 量相对外生于当地计划生育政策。
表 2C 部分进一步控制地区的少数民族人口比例,户籍人口占常住人口比 例、非农户籍人口比例、人口平均受教育年限、人均 GDP 水平等变量,以减少遗漏变量造成的估计偏误。表 2C 部分结果显示,在加入了一系列控制 变量之后,是否有宗族祠堂仍然同出生人口性别比显著正相关,并且相对表 2A 和 B 部 分的估计,回归系数的下降幅度并不大,显示宗族文化变量同这一系列控制变量之间均 没有十分显著的相关性,由遗漏变量问题导致的潜在估计偏误很小。
05 其他相关文献
[1]江曼琦,席强敏.中国主要城市化地区测度——基于人口聚集视角[J].中国社会科学,2015(08):26-46+204-205.
[2]陈沁,宋铮.城市化将如何应对老龄化?——从中国城乡人口流动到养老基金平衡的视角[J].金融研究,2013(06):1-15.
[3]王跃生.中国城乡家庭结构变动分析——基于2010年人口普查数据[J].中国社会科学,2013(12):60-77+205-206.
[4]李建伟.我国劳动力供求格局、技术进步与经济潜在增长率[J].管理世界,2020,36(04):96-113. 
06 获取方式
见推文末尾,此数据仅限永久高级会员下载。
▪ 添加客服微信方式

扫描下方二维码,或搜索下方微信号。

添加客服微信号:DeepData001获取更多更新数据

图片
图片
往期已推送数据
CNDD 已推送数据列表及业务介绍
CNDD 全国各地区儒家文化变量数据合集
CNDD 中国上市公司创新变量数据合集(全网最全)
CNDD 中国银行业数据合集
CNDD 中国债券市场研究数据合集
版权声明 …
1. 除中国深度数据库(CNDD)特殊声明外,CNDD对基于合法来源的数据的选择、整理和编排具有独创性。任何自然人、法人、其他组织未经CNDD授权,不得以任何目的截取、上传、下载、复制、修改、使用、编译等或者以任何方式任何媒介传播上述作品的任何部分,否则视为侵权。2. 对于存在侵害CNDD上述权利违法行为的主体,CNDD保留依法追究其法律责任的权利。
数据授权使用说明 …
任何使用CNDD数据等产品的单位和个人,承诺只将CNDD的数据等用于学术研究,并在所得研究成果(包括但不限于学术论文、咨询报告等)中注明数据来源于CNDD。数据来源的注明方式请参考:“本研究数据来源于中国深度数据库CNDD”;英文参考:“We get the data from CNDeepData (CNDD)”。
图片
中国深度数据库:让精品数据 得以流动CNDeepData:Let high-quality data flow without barriers
资源下载此资源仅限年度高级会员下载,请先

部分图片来源于网络,如涉侵权请告知,本站将第一时间删除。客服微信号:DeepData001

发表评论

您的邮箱地址不会被公开。 必填项已用 * 标注

滚动至顶部